Aktuality

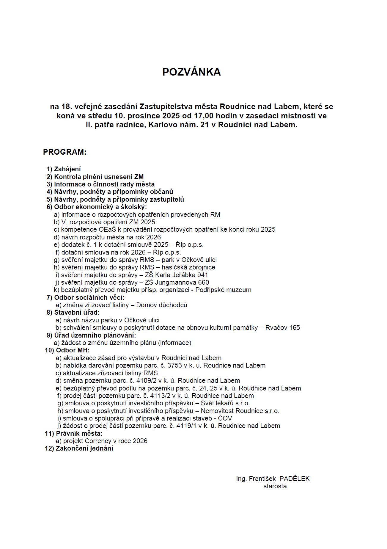
Pozvánka na zasedání Zastupitelstva města

01. prosince 2025 | Mgr. Jan Vancl, tiskový mluvčí

Vedení města zve na 18. veřejné zasedání Zastupitelstva města Roudnice nad Labem, které se koná ve středu 10. prosince 2025 od 17.00 hod. v zasedací místnosti ve druhém patře budovy radnice na Karlově náměstí. Mezi hlavní body programu patří jednání o návrhu rozpočtu města pro nadcházející rok 2026.

Další aktuality